Электронный архив
Донецкого национального технического университета (г.Донецк)
Electronic archive of Donetsk national technical university (Donetsk)
 

eaDonNTU, Donetsk >
Красноармейский индустриальный институт (до 2014 г.) >
Кафедра інженерної механіки >
Наукові статті викладачів кафедри >
Вірич Світлана Олександрівна >

Пожалуйста, используйте этот идентификатор, чтобы цитировать или ссылаться на этот ресурс: http://ea.donntu.ru/handle/123456789/25859

Название: Параметризація спіральної поверхні
Авторы: Вірич, Світлана Олександрівна
Ключевые слова: рівняння спіральної поверхні
конічні гвинтові лінії
конічна точка
коло циклічного каркасу
Дата публикации: 2005
Издатель: м. Харків, Харківський державний університет харчування та торгівлі
Библиографическое описание: Вірич С.О. Параметризація спіральної поверхні // Геометричне та комп'ютерне моделювання: 21 наук. праця: Редкол.: Л.М.Куценко та ін.; Харк. держ. університет харчування та торгівлі. - Харків, 2005. - с. 61-65
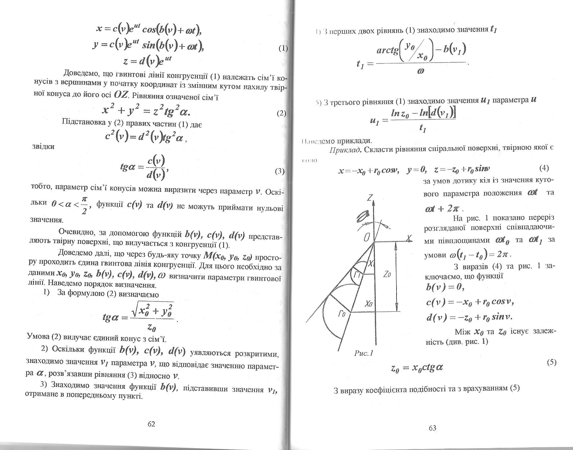
Аннотация: В даній статті наведено комп'ютерну модель та параметричні рівняння спіральної поверхні твірною якої є коло, отриманих вилученням шуканої поверхні з конгруенції конічних гвинтових ліній
URI: http://ea.donntu.edu.ua/handle/123456789/25859
Располагается в коллекциях:Вірич Світлана Олександрівна

Файлы этого ресурса:

Файл Описание РазмерФормат
1.jpg708.49 kBJPEGПросмотреть/Открыть
2.jpg462.59 kBJPEGПросмотреть/Открыть
3.jpg447.96 kBJPEGПросмотреть/Открыть

Все ресурсы в архиве электронных ресурсов защищены авторским правом, все права сохранены.